이제 수업 한번만 더 들으면 끝난다...!!
월수금마다 6시에 일어나서 9시까지 학교 가고 1시간 공부하다가 10시부터 3시 수업 듣느라 힘들었는데..ㅠㅠㅠ
1년 내내 학기마다 6시에 일어나고 3-4시간씩 수업보다 일찍 가서 공부하다 3교시 첫수업 듣고 그러는게 일상이었고 평균 수면시간 4시간이었음
그러다보니 체력이 많이 떨어져서 운동도 시작했는데 체력이 느는 기분도 안들고... 이번 방학까지 그 생활이 이어지니 진짜 죽을 것 같다
이제 통학 그만,,,,, 기숙사 들어가면 사람답게 살아야지
다중분류: 타깃이 가질 수 있는 값이 3개 이상, 타깃이 가지는 값에 대응되는 데이터의 모임으로 클래스 혹은 레이블이라고 함
로지스틱 회귀의 경우 참과 거짓을 판별하기 때문에 값이 하나였지만, 다중 분류 모델은 타깃의 종류가 여러 개이므로 출력 값도 여러 개임
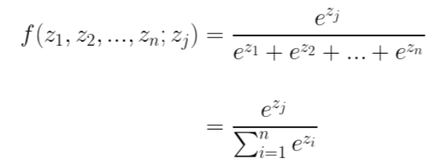
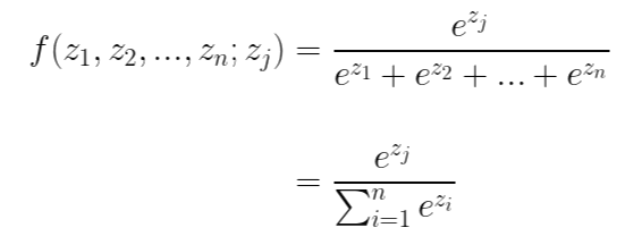
로지스틱 회귀에서는 선형 방정식을 통과한 값을 sigmoid 함수를 이용하여 가공했으나, 다중 분류는 softmax 함수를 사용하고 있음
softmax 함수

one-hot-encoding
다중 분류 모델은 softmax를 통과한 값 중 가장 높은 값을 1로 남겨두고, 나머지 값들은 모두 0으로 만듦
loss function: categorical crossentropy
crossentropy 함수

오늘의 실습


오늘 자 비교과 수업 내용 정리
- 김상모 교수님 인공지능 입문 교육
- 7회차: 다중분류
'Old > AI' 카테고리의 다른 글
| 과적합 (0) | 2023.01.20 |
|---|---|
| 로지스틱 회귀 / Keras (0) | 2023.01.16 |
| 선형회귀 / TensorFlow (0) | 2023.01.13 |
| 선형회귀 (0) | 2023.01.11 |